목차
- 콘드로이친이란?
- 콘드로이친의 생리적 기능
- 콘드로이친 효능
- 콘드로이친 부작용 및 주의사항
- 콘드로이친 섭취 방법과 권장 용량
- 콘드로이친과 글루코사민의 차이점
- 콘드로이친에 대한 연구 및 과학적 근거
1. 콘드로이친이란?
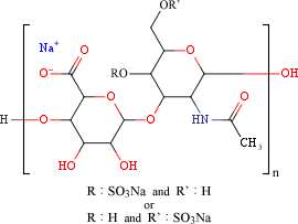
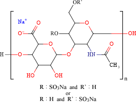
콘드로이친(Chondroitin sulfate)은 인체 내에서 연골을 구성하는 주요 성분 중 하나로, 자연적으로 존재하는 황산화된 당단백질입니다. 특히 관절 연골 내에서 쿠션 역할을 하며, 충격을 흡수하고 관절의 유연성과 탄력성을 유지하는 데 중요한 역할을 합니다.
이 물질은 동물의 연골 조직에서 추출되며, 주로 소, 돼지, 상어 등의 연골에서 얻습니다. 건강기능식품이나 관절염 보조 치료제로 널리 사용되며, 노화나 관절 손상으로 인해 감소된 콘드로이친을 보충하는 목적이 많습니다.
2. 콘드로이친의 생리적 기능
콘드로이친은 여러 가지 생리적 작용을 통해 관절 건강을 유지하는 데 기여합니다.
① 연골 보호 작용
콘드로이친은 연골 내 수분을 유지하고, 연골세포의 손상을 방지하는 데 도움을 줍니다. 이는 마찰을 줄이고, 관절의 운동성을 유지하는 데 중요한 역할을 합니다.



② 염증 억제 작용
염증 유발 물질인 사이토카인의 활성을 억제하고, 관절 내 염증 반응을 줄여 통증을 완화하는 데 도움을 줍니다.
③ 관절 윤활 작용 강화
콘드로이친은 관절액(활액)의 점도를 증가시켜 관절 간 윤활작용을 원활하게 하며, 연골 간 마찰을 줄이는 기능을 합니다.
④ 연골 합성 촉진
연골 세포의 성장과 기질 성분(콜라겐, 히알루론산 등)의 합성을 도와, 연골 조직의 재생과 유지에 관여합니다.
3. 콘드로이친 효능
콘드로이친은 주로 관절 건강을 중심으로 여러 긍정적인 효과를 가지며, 주요 효능은 다음과 같습니다.
① 골관절염(OA) 증상 개선
콘드로이친은 무릎, 손, 엉덩이 등의 골관절염 환자에게서 통증과 강직을 감소시키고, 일상적인 관절 기능을 향상시킨다고 보고된 바 있습니다.
② 관절 연골 손상 지연
장기 복용 시 연골의 퇴행성 변화를 늦추고, 구조적 손상을 줄이는 데 기여할 수 있다는 연구 결과도 있습니다.



③ 진통제 사용 감소 효과
NSAIDs(비스테로이드성 항염증제)와 병용 시 진통제 복용량을 줄일 수 있는 효과가 있어, 부작용 위험을 낮추는 데 도움을 줍니다.
④ 운동 후 관절 통증 완화
운동으로 인한 일시적인 관절 통증이나 불편감 완화에도 일부 효과가 있을 수 있으며, 활동적인 중장년층에게 관심을 받고 있습니다.
⑤ 피부 보습과 탄력 개선(연관 효과)
콘드로이친은 히알루론산과 함께 피부 진피층 내 수분 유지와 탄력 유지에도 관여할 수 있어, 피부 건강 개선 효과가 보고되기도 했습니다.
4. 콘드로이친 부작용 및 주의사항
콘드로이친은 비교적 안전한 성분으로 알려져 있지만, 개인차에 따라 부작용이나 주의해야 할 사항이 있습니다.
① 소화기 증상
가장 흔한 부작용은 복부 팽만감, 소화불량, 가스 생성 등이며, 드물게 메스꺼움이나 변비가 나타날 수 있습니다.
② 과민 반응
해산물, 동물성 성분에 알레르기가 있는 경우 복용 전 원재료를 반드시 확인해야 하며, 가려움증, 발진 등의 증상이 있을 경우 복용을 중단해야 합니다.



③ 항응고제 병용 주의
콘드로이친은 혈액 응고에 영향을 줄 수 있어, 와파린, 아스피린 등의 항응고제와 함께 복용 시 출혈 위험이 증가할 수 있으므로 전문가 상담이 필요합니다.
④ 임신 및 수유 중 사용
안전성이 충분히 입증되지 않았기 때문에 임신 중이거나 수유 중인 경우 복용을 피하거나 반드시 전문가와 상의해야 합니다.
⑤ 장기 복용 시 간헐적 평가 필요
장기간 복용 시 효능, 부작용 여부를 주기적으로 확인하며 복용 여부를 결정하는 것이 좋습니다.
5. 콘드로이친 섭취 방법과 권장 용량
콘드로이친은 주로 건강기능식품이나 병용 치료제로 섭취하며, 형태는 정제, 캡슐, 파우더 등이 있습니다.
① 일일 권장량
일반적으로 콘드로이친 황산염 기준 800mg ~ 1,200mg/일 복용이 권장됩니다. 증상에 따라 아침저녁으로 나누어 복용하거나 1회로 복용할 수 있습니다.
뼈 건강에 좋은 음식과 좋은 운동 간단 정리
안녕하세요 J입니다. 나이가 들어가면서 더욱 불안해지는 뼈 건강 오늘은 건강한 뼈를 위한 필수 정보, 뼈 건강에 좋은 음식과 뼈 건강에 좋은 운동을 정리해 보겠습니다. 목 차1. 뼈 건강의 중
story.sapdox.com
② 식사와 함께 섭취
소화 불편감을 줄이기 위해 식사와 함께 섭취하는 것이 권장되며, 물과 함께 충분히 삼키는 것이 좋습니다.
③ 복용 기간
짧게는 4~6주, 길게는 3~6개월 이상 복용해야 효과가 나타나는 경우가 많으며, 전문가의 지시에 따라 조절해야 합니다.
④ 복합제 복용 시 주의
글루코사민, MSM, 히알루론산 등과 혼합된 제품도 있으므로 중복 성분 여부를 확인하여 복용량을 조절해야 합니다.
6. 콘드로이친과 글루코사민의 차이점
콘드로이친과 글루코사민은 관절 건강을 위한 대표적인 보조성분으로 자주 함께 언급되지만, 구성과 기능에는 차이가 있습니다.
| 구 분 | 콘드로이친 | 글루코사민 |
| 주요 기능 | 연골 내 수분 유지, 염증 억제 | 연골 기질 성분 합성 촉진 |
| 형태 | 황산화된 다당류 | 아미노당 |
| 작용 기전 | 연골 마모 억제 및 통증 완화 | 연골 재생 및 관절 기능 회복 |
| 복용 효과 | 진통제 사용 감소, 연골 보호 | 연골 생성 촉진, 관절 기능 개선 |
| 함께 복용 | 가능 (상호 보완적) | 가능 (병용 시 효과 증가) |
둘 다 복용 시 상호 보완적인 효과를 낼 수 있으며, 관절염 보조 치료제로 자주 병용됩니다.
7. 콘드로이친에 대한 연구 및 과학적 근거
콘드로이친의 효과에 대한 연구는 다양한 임상 시험과 메타 분석을 통해 진행되어 왔습니다.
① 관절 통증 완화
2006년 GAIT(Glucoasmine/Chondroitin Arthritis Intervention Trial) 연구에서는 경증~중등도의 골관절염 환자 중 일부에서 콘드로이친의 통증 개선 효과가 나타났다고 보고했습니다.
② 연골 손상 감소
2011년 Annals of the Rheumatic Diseases에 실린 연구에서는 콘드로이친 장기 복용이 관절 간격 감소를 지연시키는 효과를 보였다는 결과가 발표되었습니다.
③ 장기 복용의 안전성
다수의 연구에서 장기 복용 시 부작용 발생률이 낮고, 전반적인 안전성이 우수하다는 평가를 받고 있습니다.
④ 효과 논란도 존재
일부 연구에서는 위약과 유사한 효과를 보였다는 결과도 있어, 개인의 상태에 따라 효과가 다를 수 있음을 보여줍니다. 따라서 복용 전 전문가의 상담이 권장됩니다.
무릎 소리나는 이유 무릎관절에 좋은 운동 간단 정리
안녕하세요 J입니다. 걷거나, 앉았다 일어날때 무릎이 시큰거리거나 딱딱! 소리가 난다면 많이 걱정되실 텐데요. 오늘은 무릎 소리나는 이유와 무릎관절에 좋은 운동 들을 정리해보려고 합니다.
story.sapdox.com
댓글